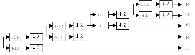
1-D Perfect Reconstruction Filter Bank

Our audio compression scheme is some what different from the image compression scheme. The similarities include a 4-level DWT - IDWT structure. The differences include a real-time implementation on DSP56002 EVM, Daubechies-24 basis & a Static Bit allocation scheme. The output was quantized for a compression ratio of x4. However, we did not code the loss-less coding step on the 56002.

The Decomposition and Reconstruction Filter Banks are given below in Figure 1 & Figure 2. In our implementation, we used the Polyphase form for these structures thereby increasing the computational efficiency.

 
Figure 1: 1-D 4 Level Analysis Tree
 
 
 
Figure 2: 1-D 4 Level Synthesis Tree corresponding to the Analysis Tree in Figure 1.